Existen operaciones en el que teniendo una deuda devolver en dos pagos o bien si se tiene dos deudas o más devolver en un solo pago. Estas operaciones de la ecuación de valor existen en interés simple e interés compuesto. En el supuesto que:
Teniendo un préstamo de $ 2.000 = se puede devolver en dos pagos $ 1.500 + $ 500
Teniendo las deudas de $ 1300 y $ 700 = se puede devolver con un solo pago $ 2.000
Se debe tomar en cuenta si la deuda o deudas están relacionadas con un solo acreedor y acordar un plan de pagos.
Pasos que se debe tomar en cuenta:
1. Reconocer cual es la deuda y cuál es el pago.
2. Elegir una fecha de comparación (fecha focal).
3. Llevar las deudas a la fecha focal.
4. Llevar los pagos a la fecha focal.
Además

Ejemplo 30: La empresa XYZ debe cumplir con las obligaciones contraídas los mismos que deben pagarse dentro de 2 meses $ 2.000 dentro de 6 meses $ 4.000 y dentro de 10 meses $ 8.000. El gerente desea liquidar toda la deuda dentro de 5 meses ¿Cuánto debe pagar dentro de 5 meses para saldar la deuda a una tasa de interés del 15%?

Ejemplo 31: Una persona contrae dos obligaciones de $ 10.000 y de $ 15.000 que serán pagados, la primera dentro de 3 meses y la segunda dentro de 9 meses. El deudor propone al acreedor pagar la deuda en la forma siguiente: $ 8.000 dentro de 6 meses de haber contraído las obligaciones y el saldo dentro de 1 año. ¿Cuánto tendrá que pagar al final del año para liquidar la deuda? considerar una tasa del 12% de interés anual.

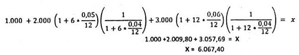
Ejemplo 32: Determinar ni valor de las siguientes obligaciones, el día de hoy, suponiendo una tasa del 4% de interés simple:
$ 1.000 con vencimiento el día de hoy
$ 2.000 con vencimiento en 6 meses, con interés del 5%
$ 3.000 con vencimiento en 1 año, con interés del 6%
Utilizar el día de hoy como fecha focal.


Ejemplo 33: Una persona debe $ 1.000 con vencimiento en 1 año a un interés del 14%. Desea saldar esta obligación por medio de dos pagos de igual cuantía a efectuar a los 3 y 9 meses respectivamente ¿Cuál será la cuantía de esos pagos, si ambas partes acuerdan utilizar una tasa de interés del 14% y una fecha focal de un año?
En primer lugar se debe obtener el monto de la deuda de $ 1.000 que vence en un año.

