1. Encuentre el valor actual de $ 2.500 con vencimiento dentro de 4 años si el dinero gana un 4 1/2 %.
Datos:
A = ?
S = 2.500
n = 4 años
i = 4 1/2 = 4,5%
Solución:

2. Encuentre el valor actual de $ 694,70 con vencimiento dentro de 18 meses si el dinero gana, un 3%capitalizable trimestralmente.
Datos:
A = ?
S = 694,70
n = 18 meses = (1,5 años = 18/12 meses * 1 año)
i = 3% capitalizable trimestralmente.
Solución:

3. Encuentre el valor actual de $ 850 con vencimiento dentro de 2 1/2 años sin recargo por concepto de intereses, si el dinero gana el 2 1/2%, capitalizable semestralmente.
Datos:
A = ?
S = 850
n = 2.5 años
i = 2.5 capitalizable semestralmente.
Solución:

4. ¿Cuánto debe depositar una persona de 30 años con una cuenta bancaria de ahorros que reconoce intereses a razón del 2%. Capitalizable trimestralmente, para poder girar un retiro de $ 5.000 cuando cumpla 50 años de edad.?
Datos:
A = ?
S = 5.000
n = 50 – 30 = 20
i = 2%
m = 4 (trimestralmente)
Solución:

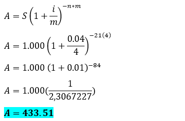
5. Un padre de familia dese separar al nacimiento de su hijo una suma de dinero que le resulte suficiente para otorgarle $ 1.000 cuando su hijo sea mayor de edad. ¿Cuánto será el valor requerido si el dinero invertido gana (a) un 4% efectivo? (b) Un 4% capitalizable trimestralmente.
Datos:
A = ?
S = 1.000
n = 21 años
(a) i = 4% efectivo
(b) i = 4% capitalizable trimestralmente
Solución:
Solución (a):

Solución (b):

Si un padre de familia decide invertir a la tasa efectiva deberá depositar inicialmente: un monto mayor que si su fuese capitalizable trimestralmente.
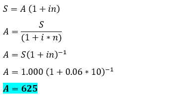
6. el 1 de mayor de 1988, el señor A, firma una letra de cambio comprometiéndose a pagar $ 1.000 al señor B, el 1 de mayo de 1993. Si el señor A, desea cancelar toda la obligación en fecha 1 de mayo de 1990, ¿Cuánto deberá pagarle al Sr. B, considerando que el dinero vale un 6%.?
Datos:
1ro de mayo 1.988 – 1.993
n = 5 años
S = 1.000
i = 6%
Solución:

7. Si debo $ 4.360 cuyo vencimiento se cumple dentro de 6 años. Y deseo cancelar toda mi obligación en la fecha actual. ¿Qué suma estaría mi acreedor dispuesto a aceptar si él puede perfectamente invertir su dinero al 2%, capitalizable mensualmente?
Datos:
S = ?
n = 6 años
m = 12
i = 2%
Solución:

8. Descuente $ 1.000 por 10 años al (a) 6% capitalizable anualmente; (b) al 6% de interés simple; (c) al 6% de tasa de descuento simple.
Datos:
S = 1.000
n = 10 años
i = 6% capitalizable anualmente
Solución:
Solución (a):

(b) i = 6% interés simple

(c) i = 6% de tasa de descuento simple.

Ejercicios y Problemas de Matemáticas Financieras - Problemas Resueltos.
Prácticas, problemas y ejercicios resueltos y solucionados. Segundo grupo compuesto de 5 ejercicios modelo y prácticos de la materia de matemáticas financieras. Las soluciones han sido ilustradas y explicadas paso a paso.