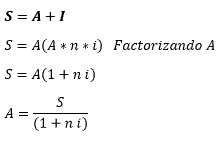
Solución Problema 1
Datos:
S = 715,26
n = 15 meses
i = 0,055
A = ?

Solución:

Solución Problema 2
Datos:
I = 16,24
n = 4 meses
A = 750
i = ?
Solución:

Solución Problema 3
Datos:
n = ?
A = 364,50
S = 389,77
i = 5,2%
I = 25,27
Solución:

Solución Problema 4
Datos:
A = 60
S = 63
n = 1 mes
i = ?
Solución:

Solución Problema 5
Datos:
n = 2 semanas
i = ?
I = A + 10%
A = A (Asignándole un valor de 100)
Solución:
![]()
Donde:

Despejando la Tasa de interés i:

Entonces el interés es:
![]()
Interés Simple - Ejercicios y Problemas de Matemáticas Financieras - Problemas Resueltos.
Prácticas, problemas y ejercicios resueltos y solucionados. Segundo grupo compuesto de 5 ejercicios modelo y prácticos de la materia de matemáticas financieras. Las soluciones han sido ilustradas y explicadas paso a paso. Encuentra el capital acumulado, tasas de interés, etc.