Gastos pagados por adelantado

Este caso de asientos de ajuste conocido también como gastos pagados por anticipado o gastos anticipados, se apropia expresamente para todas aquellas cuentas del activo que constituyen el sub-grupo de pagos anticipados.

Se consideran bajo este rubro a todas aquellas cuentas que representen gastos efectuados por una empresa y tengan la característica de ser pagados por adelantado.

Para practicar ésta clase de asientos de ajuste existen dos procedimientos que son:

Asientos irreversibles

Asientos reversibles

Asientos irreversibles

Este procedimiento implica la preparación de dos asientos. El primero para apropiar (crear) la cuenta del gasto pagado por adelantado y segundo para efectuar su ajuste.

Por tanto, de acuerdo a lo expuesto anteriormente veremos su cálculo y tratamiento contable.

Para tal efecto plantearemos el siguiente supuesto:

1 de noviembre de 1997.-La empresa cancela $ 12.000.00 con cheque No 123 del Banco Paz, por concepto de seguros que corresponden hasta el 30 de octubre de 1998.

Contabilización de gastos pagados por adelantado (asientos irreversibles)

Para contabilizar los gastos pagados por adelantado bajo éste procedimiento utilizaremos dos registraciones y aplicaremos la siguiente regla:

Primer asiento.- Destinado a crear la cuenta del pago anticipado. Para tal efecto, se cargará la cuenta correspondiente de acuerdo a la naturaleza de la transacción y se abonará una cuenta que controla el movimiento de efectivo.

Segundo asiento.- Destinado a regularizar el saldo de la cuenta que controla el gasto pagado por adelantado. Para tal efecto, se cargará la cuenta correspondiente de gasto por el importe ya insumido hasta la fecha del ajuste y se abonará la cuenta del gasto pagado por adelantado.

Los registros a practicarse son:

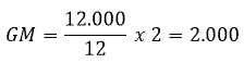
Supongamos que el ajuste se realiza directamente el 31 de diciembre de 1997, además desconocemos la prima mensual. Para determinar la aplicación del gasto insumido utilizaremos la siguiente formula:

GM = Gasto mensual

MTPPA = Monto total pagado por adelantado

N = tiempo

NM = Número de meses

Por tanto, el gasto insumido desde el 1 de noviembre al 31 de diciembre de 1997 es $ 2.000.00, equivalentes a una prima mensual de $ 1.000.00. Quedando un pago anticipado de $ 10.000.00 correspondientes de enero a octubre de 1998.

El registro a practicarse es:

Conclusiones

Por lo expuesto anteriormente arribamos a las siguientes conclusiones:

Los dos registros que practicamos materialmente no están juntos, en razón que el primero se registró en fecha 1 de noviembre de 1997 en comprobante de diario egreso. En cambio el segundo, se practicó en fecha 31 de diciembre de 1997 en un comprobante de diario traspaso.

Para la cuantía del ajuste necesariamente se debe tomar en cuenta el tiempo, es decir, la fecha del pago anticipado respecto de la fecha del ajuste.

Asientos reversibles

Este procedimiento implica la preparación de dos asientos. El primero para apropiar la cuenta del gasto y segundo para efectuar su ajuste y crear la cuerna riel pago anticipado.

Por tanto, de acuerdo a lo expuesto anteriormente veremos su cálculo y tratamiento contable. Para tal efecto utilizaremos el supuesto anterior.

Contabilización de gastos pagados por adelantado (asientos reversibles)

Para contabilizar los gastos pagados por adelantado bajo éste procedimiento utilizaremos dos registraciones y aplicaremos la siguiente regia:

Primer asiento.- Destinado a crear la cuenta del gasto. Para tal efecto, se cargará la cuenta correspondiente de acuerdo a la naturaleza de la transacción y se abonará una cuenta que controla el movimiento de efectivo.

Segundo asiento.- Destinado a regularizar el saldo de la cuenta que controla el gasto. Para tal efecto, se creará cargando la cuenta del gasto pagado por adelantado por el importe pendiente hasta la fecha del ajuste y se abonará la cuenta del gasto.

Los registros a practicarse son:

Supongamos que el ajuste se realiza directamente el 31 de diciembre de 1997, además desconocemos la prima mensual. Para determinar la aplicación del gasto insumido utilizando la siguiente fórmula:

GM = Gasto mensual

MTPPA = Monto total pagado por adelantado

N = Tiempo

NM = Número de meses

Por tanto, el gasto insumido desde el 1 de noviembre al 31 de diciembre de 1997 es $ 2.000.00, equivalentes a una prima mensual de $ 1.000.00. Quedando un pago anticipado de $ 10.000.00 correspondientes de enero a octubre de 1998.

El registro a practicarse es:

Conclusiones

Por lo expuesto anteriormente arribamos a la siguiente conclusión:

Estas operaciones también pueden ser registradas bajo este procedimiento. Sin embargo, es recomendable utilizar el primer procedimiento (Asientos irreversibles).

Exposición en estados financieros

Los gastos pagados por adelantado una vez registrados y regularizados necesariamente deberán exponerse en estados financieros.

Primeramente veamos las cuentas del activo y su exposición en balance general:

ACTIVO

Pagos anticipados

Seguros pagados por adelantado      10.000

 

Seguidamente veamos la cuenta de gasto y su exposición en estado de ganancias y pérdidas:

GASTOS DE OPERACIÓN

Gastos de administración

Seguros                                              2.000

.

Contenido relacionado

  • Este caso de asiento de ajuste se apropia expresamente para todas aquellas cuentas del activo que constituyen el sub-grupo de las existencias, inventarios o almacenes.

  • Este caso de asientos de ajuste conocidos también como ingresos percibidos por anticipado o ingresos anticipados, se apropia expresamente para todas aquellas cuentas del pasivo que constituyen el s

  • Este caso de asientos de ajuste conocido también como ingresos pendientes de cobro, ingresos ganados y no cobrados o ingresos devengados por cobrar, se apropia expresamente para todos aquellos ingr

  • Este caso de asientos de ajuste se apropia expresamente para todas aquellas cuentas del activo que constituyen el sub-grupo de intangibles.

  • Este caso de asientos de ajuste conocido también como gastos pendientes de pago, gastos incurridos y no pagados o gastos acumulados por pagar se apropia expresamente para todos aquellos gastos incu