Ejercicios Resueltos de Interés Compuesto, Tasa nominal y efectiva de interés, Monto a Interés Compuesto

1. ¿Cuál será el monto de un capital de $US 350, colocados al interés compuesto del 9% anual, al cabo de 3 años?  Si se supone que el interés se capitaliza anualmente.

Solución Problema 1

Solución:

Matemáticas Financieras. - Ejercicios Resueltos de Interés Compuesto

2. ¿Un cliente pregunta a su banquero, en que suma se convertirá su depósito de $ 6.000, colocados durante 9 años al interés compuesto del 14% capitalizable anualmente?

Solución Problema 2

Solución:

Matemáticas Financieras. - Ejercicios Resueltos de Interés Compuesto

3. El señor Mario Oropeza, depositó $US 1.200, en el Banco Norte que paga el 14% capitalizable anualmente.  ¿Cuántos años deberá transcurrir para poder obtener un monto de $US 1.459,98?

Solución Problema 3

Solución:

Matemáticas Financieras. - Ejercicios Resueltos de Interés Compuesto

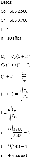
4. ¿A qué tasa o tipo de interés fueron colocados $US 2.500, en el Banco Internacional, si al cabo de 10 años devolvieron $US 3.700, considerando interés compuesto y capitalización anual?

Solución Problema 4

Solución:

Matemáticas Financieras. - Ejercicios Resueltos de Interés Compuesto

5. (Ej. Interés compuestotasa nominal y efectiva de interés) El banco Bisco, paga a sus depositantes el 14 ½% compuesto capitalizable semestralmente.  ¿Si se deja un depósito de $ 500, durante 1 año que cantidad obtendrá?

Solución Problema 5

Solución:

Datos:

Matemáticas Financieras. - Interés compuesto– tasa nominal y efectiva de interés

6. (Ej. Monto a Interés Compuesto) La Señora Nilda López, coloca $ 12.000, al 15% de interés compuesto semestral por el lapso de 1.5 años capitalizables trimestralmente.  Se pide calcular el capital final o monto a interés compuesto.

Solución Problema 6

Solución:

Datos:

Matemáticas Financieras. - Monto a Interés Compuesto

Cálculos auxiliares:

Matemáticas Financieras. - Monto a Interés Compuesto

Reemplazando los datos en la fórmula:

Matemáticas Financieras. - Monto a Interés Compuesto

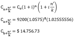
7. (Ej. Monto a interés compuesto para periodos mixtos) El Banco Internacional, otorgó un préstamo de $ 9.200, al 23 % de interés compuesto anual que fue devuelta en 2 años, 1 mes y 10 días, si los intereses fueron capitalizándose cada 3 meses.  Calcule el capital final a interés compuesto por las dos fórmulas.

Solución Problema 7

Solución:

Matemáticas Financieras. - Monto a interés compuesto para periodos mixtos

Cálculos auxiliares:

Matemáticas Financieras. - Monto a interés compuesto para periodos mixtos

Por la primera fórmula:

Matemáticas Financieras. - Monto a interés compuesto para periodos mixtos

Por la segunda fórmula:

Matemáticas Financieras. - Monto a interés compuesto para periodos mixtos

La segunda opción le conviene a la entidad financiera.

.

Contenido relacionado